优必选研究院论文入选《麻省理工科技评论》“The Best of the Physics arXiv”
2018-12-14 15:40:10AI云资讯1224
优必选研究院再次获得国际学术界认可,论文《Evolutionary Generative Adversarial Networks》入选《麻省理工科技评论》(MIT Technology Review)“The Best of the Physics arXiv”。该论文由优必选悉尼大学人工智能中心的王超岳(学生)在徐畅博士、姚新教授(南方科技大学)和陶大程教授(悉尼大学教授、优必选悉尼大学人工智能中心主任、优必选人工智能首席科学家)的联合指导下完成。


《麻省理工科技评论》网站发布的优必选悉尼大学人工智能中心论文
《Evolutionary Generative Adversarial Networks》
《麻省理工科技评论》于1899年在美国麻省理工学院创刊,是世界上历史最悠久,也是影响力最大的技术商业类杂志。内容覆盖广泛,涉及互联网、通讯、计算机技术、能源、新材料、生物医学和商务科技几大领域。其重点关注新兴科技及其对商业和社会的巨大影响,为超过300万科技领域的专业人士及商业领袖提供前瞻性的资讯和独到深入的行业趋势研究分析。已经或正在走出实验室,走向市场和即将商业化的技术,颠覆现有格局,创造全新市场,深刻影响人类社会的技术都是这本杂志关注的重点内容。
在陶大程教授的领导下,优必选悉尼大学人工智能研究中心主要研究关注人工智能的基础技术:Perceiving、Learning、Reasoning以及Behaving,目前在计算机视觉领域,包括物体检测、场景解析、从单张彩色图像中恢复深度信息、目标跟踪、人体姿态估计、人脸识别、看图说话与看图回答问题、模仿学习、多视角学习、深度模型压缩等多个方向上均取得很好的进展。
2018年,优必选悉尼大学AI研究中心在国际顶级AI学术会议上屡获佳绩,有4篇论文入选CVPR2018,5篇论文入选AAAI 2018,5篇论文入选IJCAI 2018并获得杰出论文奖、,2篇论文入选KDD 2018,8篇论文入选ECCV 2018,此外,还在ECCV 2018第一届图像对话比赛(Visual Dialogue 2018)中荣膺冠军,一举击败中科大、南洋理工、微软、以色列理工、UIUC以及首尔大学等近十支由国际知名高校和科技巨头组成的参赛团队。
这些研究成果,对于未来的机器人技术以及产品落地都会有很多的促进:让机器人能够更加准确地感知、理解环境,为终端用户带来更好的体验,同时也能加速推动人工智能与人形机器人领域前沿技术的商业化落地,助力优必选实现让机器人走进千家万户的梦想。
附:论文《Evolutionary Generative Adversarial Networks》(《Evolutionary GAN: 基于演化算法的GAN模型》)的内容介绍
1. 简介
生成对抗网络(GAN)在近些年中取得了快速的发展和广泛的关注,并被应用于一系列现实世界的任务中,例如图像生成,图像编辑,视频预测等等。具体来说,现有的GAN算法大多是在生成器G和判别器D之间执行一个two-player adversarial game。 在对抗过程中,生成器G致力于不断地‘骗过’判别器D,并最终生成服从真实分布的样本。虽然对抗学习在许多问题上都取得了不错的表现,但很多现有的GAN模型也都面临训练难的问题,例如梯度消失和模式崩溃(mode collapse)。在本文中,受到自然演化过程的启发,作者们提出了Evolutionary GAN (E-GAN),一个基于演化算法的GAN框架,以提升GAN训练的稳定性并期望得到更好的生成效果。
2. Evolutionary GAN
与以往的1vs1的对抗算法不同,E-GAN设计了一个判别器D与生成器‘种群’(population)之间的对抗框架。具体来说,作者假设生成器G不再以个体的形式存在,而是以‘种群’(population)的形态与判别器D进行对抗。从演化的角度,判别器D可以被视为演化过程中不断变化的环境,根据优胜劣汰的原则,生成器‘种群’中表现不好的个体(individual)被不断淘汰,只有表现优异的individual才会被保留以进一步的适应环境 (i.e., 与判别器D进行对抗)。这样,每次更新产生的生成器G都将是当下所有策略中最优的选项,从而我们不必再去小心翼翼的维持训练过程中D和G的平衡,避免了梯度消失,模式崩溃等一系列训练不稳定的问题。具体的训练方法入框架图所示:

在每一次对抗过程中,生成器的演化过程由三个步骤组成,分别是变异(Variation),评估(Evaluation)和选择(Selection)。
2.1. 变异(Variation)
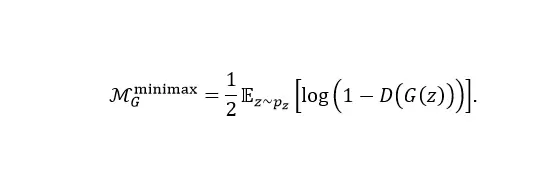
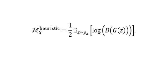
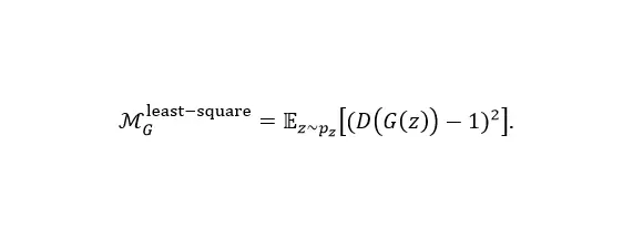
在对抗过程中,为了可以持续更新并得到合适的生成器G,首先需要对现有的生成器‘种群’进行变异操作,并产生新的后代(offspring)。通过观察和对比现有的GAN training loss,作者发现不同的loss function具有不同的优势和劣势,因而采用他们作为不同的变异操作 (mutations)将可以得到不同的offspring。具体在试验中,三种变异操作被采纳,分别是 Minimax mutation,

Heuristic mutation,

和Least-squares mutation:


通过观察这三种变异的损失函数曲线,并辅助以理论分析,作者表示这三种mutations具有互补的优势,可以用于产生不同的特性的offspring。
2.2. 评估(Evaluation)

2.3. 选择(Selection)
在衡量过所有offspring的生成性能后,作者们根据优胜劣汰的原则择优选取更新过后的生成器G进行新一轮的训练。综上所说,整个演化训练过程总结在下表中:

3. 实验
E-GAN在混合高斯分布,cifar10,LSUN bedroom,SVNH等多个数据集上进行了实验。先后验证了E-GAN网络的生成多样性,生成质量,训练效率,结构鲁棒性和生成连续性的各项性能。结合定性的生成样本感官和定量的Inception score, FID, E-GAN均表现出了优于已有two-player GAN模型的性能。部分实验结果如下所示:





相关文章
- 优必选天工行者京东首发 三版人形机器人29.9万元起售
- 与优必选等企业签约战略合作,三旺通信生态圈再扩大
- 人形机器人商用难在哪?优必选创始人:有四座“大山”
- “人形机器人第一股”落定,优必选坐稳国内人形机器人头把交椅,机器人视觉核心供应商奥比中光浮现
- 人类历史首个!优必选大型仿人服务机器人交出商用落地成绩单
- 优必选发布隔离酒店科技防疫解决方案,助力打造深圳科技防疫样板
- 东京奥运会在即,优必选防疫消毒机器人ADIBOT净巡士助力全球防疫
- 世界人工智能大会2021优必选科技钟永:AI变革,教育先行
- 优必选科技崔宁:人工智能教育的知与行
- Walker+X全球首发,优必选科技全栈解决方案加速AI应用落地
- 优必选科技又双叒叕上春晚,“拓荒牛”展示硬核科技创新力量
- 优必选科技四上春晚,“拓荒牛”机器人展现硬科技创新力量
- 深圳AI“小巨人”优必选科技上春晚,“拓荒牛”机器人展现硬科技创新力量
- 钛灵AI市场与优必选达成战略合作,联合打造“AI+机器人”
- 优必选科技 人工智能教育是最美“新基建”
- 2020服贸会:优必选科技携多项智能机器人解决方案亮相
人工智能企业
更多>>人工智能硬件
更多>>人工智能产业
更多>>人工智能技术
更多>>- Twinkle x昇腾,率先实现Deepseek-V4系列模型高效训练
- 高德发布鸿蒙首个生成式 UI 开源框架 AGenUI,告别传统 UI 开发模式
- 发布即适配| 天数智芯全力支持腾讯混元Hy3 preview 开源落地,共推国内大模型产业普惠
- Seedance 2.0面向企业公测,豆包大模型日均Token使用量突破120万亿
- 端到端OCR模型第一!百度千帆Qianfan-OCR正式发布
- 云知声Unisound U1-OCR大模型发布!首个工业级文档智能基础大模型,开启OCR 3.0时代
- 基石智算上线 MiniMax M2.5,超强编程与智能体工具调用能力
- 昇腾原生支持,科学多模态大模型Intern-S1-Pro正式发布并开源









