人工智能之长短时记忆神经网络
2018-06-15 09:19:34AI云资讯1458
通过上一篇文章[人工智能之循环神经网络(RNN)] 介绍,我们知道,RNN是一类功能强大的人工神经网络算法,RNN一个重要的优点在于,其能够在输入和输出序列之间的映射过程中利用上下文相关信息。但是RNN存在着梯度消失或梯度爆炸等问题。因此,为了解决上述问题,长短时记忆神经网络(LSTM)诞生了。
长短期记忆神经网络LSTM是一种特殊的RNN,能够学习长期依赖关系。由Hochreiter和Schmidhuber (1997)提出,在后期工作中又由许多人进行了调整和普及(除了原始作者之外,许多人为现代LSTM做出了贡献,不完全统计:Felix Gers(目前在谷歌的DeepMind任职), Fred Cummins, Santiago Fernandez, Felix Gers(发明了LSTM遗忘门),Justin Bayer(自动演化), Daan Wierstra, Julian Togelius, Faustian Gomez, Matteo Gagliolo 和 Alex Graves)。LSTM在大量问题上效果异常出色,现在正在广泛使用。
LTSM概念:
长短时记忆神经网络LSTM(Long Short–Term Memory)是一种时间递归神经网络,适合于处理和预测时间序列中间隔和延迟相对较长的重要事件。
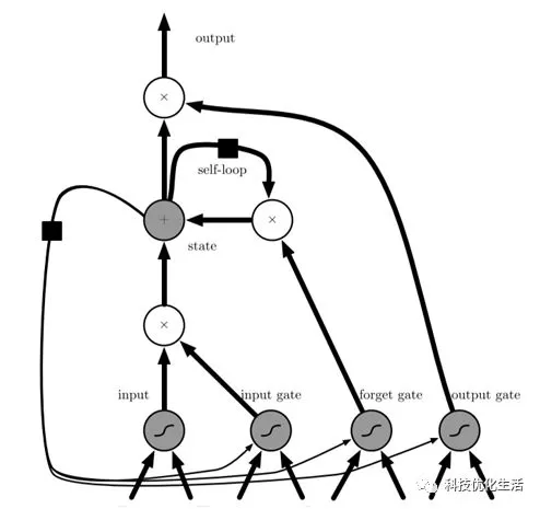
与其说长短时记忆神经网络LSTM是一种循环神经网络,倒不如说是一个加强版的组件被放在了循环神经网络中。具体地说,就是把循环神经网络中隐含层的小圆圈换成长短时记忆的模块,如下图所示。

LTSM本质:
LSTM引入自循环的巧妙构思,以产生梯度长时间持续流动的路径是初始LSTM模型的核心贡献。其中一个关键扩展是使自循环的权重视上下文而定,而不是固定的。门控此自循环(由另一个隐藏单元控制)的权重,累积的时间尺度可以动态地改变。
LSTM循环网络除了外部的RNN循环外,还具有内部的LSTM细胞循环(自环)。
LSTM 通过刻意的设计来避免长期依赖问题。记住长期的信息在实践中是 LSTM 的默认行为,而非需要付出很大代价才能获得的能力。

LSTM原理:
LSTM区别于RNN的地方,主要就在于它在算法中加入了一个判断信息有用与否的“处理器”,这个处理器作用的结构被称为cell。
一个cell当中被放置了三扇门,分别叫做输入门、遗忘门和输出门。一个信息进入LSTM的网络当中,可以根据规则来判断是否有用。只有符合算法认证的信息才会留下,不符的信息则通过遗忘门被遗忘。

说起来无非就是一进二出的工作原理,却可以在反复运算下解决神经网络中长期存在的大问题。目前已经证明,LSTM是解决长序依赖问题的有效技术,并且这种技术的普适性非常高,导致带来的可能性变化非常多。各研究者根据LSTM纷纷提出了自己的变量版本,这就让LSTM可以处理千变万化的垂直问题。
LSTM深度剖析:
LSTM 有通过精心设计的称作为“门”的结构来去除或者增加信息到细胞状态的能力。门是一种让信息选择式通过的方法。其包含一个 sigmoid 神经网络层和一个 pointwise 乘法操作。

Sigmoid 层输出 0 到 1 之间的数值,描述每个部分有多少量可以通过。0 代表“不许任何量通过”,1 就指“允许任意量通过”!
LSTM 拥有三个门(输入门,遗忘门,输出门),来保护和控制细胞状态。
标准LSTM:
1)决定丢弃信息:

2)确定更新的信息:

3)更新细胞状态:

4)输出信息:

LSTM的变体:
1)peephole 连接:

2)coupled 忘记门和输入门:

3) GRU(Gated Recurrent Unit):

LSTM应用场景:
LSTM已经在科技领域有了多种应用。基于LSTM的系统可以学习翻译语言、控制机器人、图像分析、文档摘要、语音识别、图像识别、手写识别、控制聊天机器人、预测疾病、点击率和股票、合成音乐等任务。

2015 年谷歌通过基于CTC 训练的 LSTM 程序大幅提升了安卓手机和其他设备中语音识别的能力。百度也使用了 CTC;苹果的 iPhone 在 QucikType 和 Siri 中使用了LSTM;微软不仅将LSTM 用于语音识别,还将这一技术用于虚拟对话形象生成和编写程序代码等。亚马逊 Alexa 通过双向LSTM在家中与用户交流,而谷歌使用 LSTM 的范围更加广泛,它可以生成图像字幕,自动回复电子邮件,它包含在新的智能助手Allo中,也显著地提高了谷歌翻译的质量。目前,谷歌数据中心的很大一部分计算资源现在都在执行 LSTM 任务。
结语:
长短期记忆网络LSTM是一种时间递归神经网络,适合于处理和预测时间序列中间隔和延迟相对较长的重要事件。LSTM是使用RNN的一个飞跃。LSTM算法在人工智能之机器学习、翻译语言、控制机器人、图像分析、文档摘要、语音识别、图像识别、手写识别、控制聊天机器人、预测疾病、点击率和股票、合成音乐等领域有着广泛应用。
相关文章
- 智汇瓯江 智引未来:2025中国人工智能数字创新大会在温州成功举办
- 苹果人工智能服务器芯片Baltra或将用于执行人工智能推理任务
- 人工智能数据处理和质量测评中心全栈服务体系正式发布
- 中国开发区协会人工智能产业专业委员会在京成立
- 中国信通院政策与经济研究所李强治:我国人工智能治理迈入务实新阶段,场景与工具同步落地
- 中国信通院产业与规划研究所张桢:人工智能与城市全域数字化转型融合,正成为推动城市高质量发展的核心引擎
- 中国信通院产业与规划研究所徐志发:人工智能驱动数字消费深度变革,“十五五”时期将进入壮大发展的关键阶段
- 中国信通院云计算与大数据研究所栗蔚:智能算力重塑计算和网络架构,普惠化服务人工智能
- 中国信通院信息化与工业化融合研究所刘默:人工智能技术创新赋能制造业智能化迈入新阶段
- 中国信通院人工智能研究所魏凯:人工智能正从工具升级为伙伴,全面赋能高质量发展
- 中国心理科技园开园暨中国心理人工智能算力中心在京成立 心理产业迈入2.0时代:“心理AI产教融合生态”
- 蘑菇云荣膺教育强国论坛2025年度科技创新教育品牌 以创新产品赋能人工智能通识教育
- 英伟达在AI图形处理器上部署训练OpenAI的GPT-5.2,为人工智能产业提速
- 2025 全国人工智能应用场景创新挑战赛AI Agent全球专项赛线下半决赛新闻发布会在深圳召开
- 美图公司RoboNeo入选2025人工智能年度榜单
- 贵港移动公司共建人工智能联合实验室,推动产学研融合与产业数字化
人工智能企业
更多>>人工智能硬件
更多>>- 中国联通携手合作伙伴发布云智AI眼镜
- 忆联UH812a以极致存力破局大模型载入瓶颈,释放算力潜能
- 讯飞翻译机登陆MWC 2026,同传级沟通体验,多语种交流无压力
- 普恩志引领:2026半导体与高端制造前瞻——核心备件如何驱动产业革新与市场机遇
- 超旗舰降噪,殿堂级音质 索尼双芯超旗舰真无线降噪耳机WF-1000XM6正式发售
- 当AI学会“隐身”,手机才真正智能:三星Galaxy S26系列开启AI哲学的降维打击
- 全球首秀!讯飞AI眼镜亮相MWC,多模态同传大模型与极致轻量化设计 引领智能穿戴新风向
- 全球瞩目!荣耀携Robot Phone、Magic V6系列、荣耀MagicBook Pro 14 2026震撼亮相MWC 2026
人工智能产业
更多>>人工智能技术
更多>>- 云知声Unisound U1-OCR大模型发布!首个工业级文档智能基础大模型,开启OCR 3.0时代
- 基石智算上线 MiniMax M2.5,超强编程与智能体工具调用能力
- 昇腾原生支持,科学多模态大模型Intern-S1-Pro正式发布并开源
- 百度千帆深度研究Agent登顶权威评测榜单DeepResearch Bench
- 在MoltBot/ClawdBot,火山方舟模型服务助力开发者畅享模型自由
- 教程 | OpenCode调用基石智算大模型,AI 编程效率翻倍
- 全国首个!上海上线规划资源AI大模型,商汤大装置让城市治理“更聪明”
- 昇思人工智能框架峰会 | 昇思MindSpore MoE模型性能优化方案,提升训练性能15%+









