AI在茫茫人海中,看到只有你被Deepfake了
2020-08-24 16:24:27AI云资讯1270
自打有了deepfake,再也不敢相信「眼见为实」了。
要说把朱茵换脸成杨幂,把海王换脸成徐锦江,大家还可以一笑而过。

△图源:微博用户@慢三与偏见
可若是公众人物被deepfake了什么不该说的话、不该做的事,就让人细思极恐了。

为了防止世界被破坏,为了维护世界的和平,(狗头)现在,阿里安全图灵实验室也加入了“围剿”deepfake的队列:
基于多实例学习的deepfake检测方法魔高一尺,道高一丈。deepfake和deepfake检测技术的较量其实早已展开。
不过,此前存在的deepfake检测方法主要分为两类:帧级检测和视频级检测。
基于帧级的方法需要高成本的帧级别标注,在转化到视频级任务时,也需要设计巧妙的融合方法才能较好地将帧级预测转化为视频级预测。简单的平均值或者取最大值极易导致漏检或误检。
而基于视频级别的检测方法,比如LSTM等,在deepfake视频检测时,过多专注于时序建模,导致deepfake视频的检测效果受到了一定的限制。

△部分deepfake攻击,四个人中只有一人被换脸
为了解决这些问题,阿里安全图灵实验室的研究人员们提出了基于多实例学习的Sharp-MIL(S-MIL)方法,只需视频级别的标注,就能对deepfake作品进行检测。
核心思想是,只要视频中有一张人脸被篡改,那么该视频就被定义为deepfake视频。这就和多实例学习的思想相吻合。
在多实例学习中,一个包由多个实例组成,只要其中有一个实例是正类,那么该包就是正类的,否则就是负类。
S-MIL就将人脸和输入视频分别当作多实例学习里的实例和包进行检测。
并且,通过将多个实例的聚合由输出层提前到特征层,一方面使得聚合更加灵活,另一方面也利用了伪造检测的目标函数直接指导实例级深度表征的学习,来缓解传统多实例学习面临的梯度消失难题。

具体而言,算法主要由三个关键部分组成。
首先,对输入视频中的采样帧进行人脸检测,并将提取的人脸喂给CNN,以获取特征作为实例。
在实例设计上,与传统多实例学习的设定一样,实例与实例间是相互独立的。
但由于deepfake是单帧篡改的,导致同一人脸在相邻帧上会有一些抖动,就像这样:

为此,研究人员设计了时空实例,用来刻画帧间一致性,用于辅助deepfake检测。
具体而言,使用文本分类里常用的1-d卷积,使用不同大小的核对输入的人脸序列从多视角上进行编码,以得到时空实例,用于最终检测。
也就是说,第二步,是将编码后的时空实例提取出来,形成时间核大小不同的时空包。这些包被一起用来表示一段视频。
最后,对这些包进行S-MIL,算出所有包的fake分数,这样,就能得到整个视频的最终fake分数,从而判断视频到底是不是deepfake。
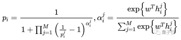
S-MIL定义如下:

其中,pi和p(i)^(j)分别是第i个包及其包里的第j个实例的正类概率;M为包里的实例数;w是网络参数;h(i)^(j)是包i里的实例j对应的特征。

由于现有的带帧标签的数据集中,同一视频中真假人脸混杂的样本较少,研究人员还构建了一个部分攻击数据集 FFPMS。
FFPMS共包含14000帧,包括4种类型的造假视频(DF、F2F、FS、NT)和原始视频,既有帧级标签,也包含视频级标签。
检测效果达到SOTA
研究人员在DFDC、Celeb和FFPMS数据集上对S-MIL进行了评估。
实验结果表明,假脸的权重比较高,说明该方法在仅需视频级别标签的情况下,可以很好地定位到假脸,具有一定的可解释性:

并且,该方法在视频检测上能到达到state-of-the-art的效果。


团队介绍
据阿里安全图灵实验室资深算法专家华棠介绍,截止目前,阿里已经将该检测技术使用在内容安全场景中,后续也会在直播场景中进行布局。
阿里安全成立于2005年,目标是面向阿里巴巴经济体建立全面的网络安全、业务安全、数据安全与平台治理的管理机制,利用大数据构建强大的实时风险防御能力。

相关文章
- 阳台储能开创者疆海科技完成数亿元 B 轮融资,押注 AI 时代的家庭能源中心
- 开源!鲸智百应升级,浩鲸科技重新定义企业AI原生
- 万兆AI惠商 联通美好未来 ——中国联通东莞市分公司5・17 电信日暨联通客户日活动圆满举行
- 中国联通在北京地区携手华为发布3000M宽带新产品,全光臻宽带矩阵为“双万兆AI提质行动”添砖加瓦
- 超显商城整合核心GLED显示技术,开启显示设备AI定制新模式
- 博大数据荣膺“全球AI生态基石大奖”,夯实融合算力基础设施服务商领先地位
- 全国人工智能发展大会 AI HANGZHOU 2026中国(杭州)国际人工智能展览会
- 酷开发布企业AI操作系统 开启硅基管理新时代
- 酷开AIOS:定义“企业AI操作系统”的野心与挑战
- 华为超千兆新品亮相山西!三频Wi-Fi 7+AI 焕新智慧家庭新生活
- 辽宁与华为联合发布超千兆三频Wi-Fi 7+AI 新品,共筑辽沈智慧家庭新生活
- 亿达科创亮相国际人工智能展再获AI大奖
- 花旗银行报告称,台积电在AI领域的主导地位不会受到英特尔威胁
- 华为云创想者大会主题论坛议程公布:释放Agentic AI新布局
- 与AI同行 3000M助力 共创智家新生活——中国联通品牌与产品辽宁宣传推广会 全面启动联通社区惠民行系列行动
- 以创新设计重塑 AI 路由未来,MOVA LINCO X1 Pro 荣膺红点奖
人工智能企业
更多>>人工智能硬件
更多>>人工智能产业
更多>>人工智能技术
更多>>- Twinkle x昇腾,率先实现Deepseek-V4系列模型高效训练
- 高德发布鸿蒙首个生成式 UI 开源框架 AGenUI,告别传统 UI 开发模式
- 发布即适配| 天数智芯全力支持腾讯混元Hy3 preview 开源落地,共推国内大模型产业普惠
- Seedance 2.0面向企业公测,豆包大模型日均Token使用量突破120万亿
- 端到端OCR模型第一!百度千帆Qianfan-OCR正式发布
- 云知声Unisound U1-OCR大模型发布!首个工业级文档智能基础大模型,开启OCR 3.0时代
- 基石智算上线 MiniMax M2.5,超强编程与智能体工具调用能力
- 昇腾原生支持,科学多模态大模型Intern-S1-Pro正式发布并开源









