人工智能之CART算法
2018-06-17 06:28:17AI云资讯1155
继上两篇决策树算法之ID3算法[参见人工智能(41)]和ID3的改进算法-C4.5算法[参见人工智能(42)]后,本文继续讨论另一种二分决策树算法-CART算法。我们知道十大机器学习中决策树算法占有两席位置,即C4.5算法和CART算法,可见CART算法的重要性。下面重点介绍CART算法。
不同于ID3与C4.5,CART为一种二分决策树,是满二叉树。CART算法由Breiman等人在 1984 年提出,它采用与传统统计学完全不同的方式构建预测准则,它是以二叉树的形式给出,易于理解、使用和解释。由CART 模型构建的预测树在很多情况下比常用的统计方法构建的代数学预测准则更加准确,且数据越复杂、变量越多,算法的优越性就越显著。
CART算法既可用于分类也可用于回归。CART算法被称为数据挖掘领域内里程碑式的算法。
CART算法概念:
CART(Classification andRegression Tree) 分类回归树是一种决策树构建算法。CART是在给定输入随机变量X条件下输出随机变量Y的条件概率分布的学习方法。CART假设决策树是二叉树,内部结点特征的取值为“是”和“否”,左分支是取值为“是”的分支,右分支是取值为“否”的分支。这样的决策树等价于递归地二分每个特征,将输入空间即特征空间划分为有限个单元,并在这些单元上确定预测的概率分布,也就是在输入给定的条件下输出的条件概率分布。
CART算法既可以处理离散型问题,也可以处理连续型问题。这种算法在处理连续型问题时,主要通过使用二元切分来处理连续型变量,即特征值大于某个给定的值就走左子树,或者就走右子树。
CART算法组成:
CART算法组成如下:
1)决策树生成:基于训练数据集生成决策树,生成的决策树要尽量大;自上而下从根开始建立节点,在每个节点处要选择一个最好(不同算法使用不同指标来定义"最好")的属性来分裂,使得子节点中的训练数据集尽量的纯。
2)决策树剪枝:用验证数据集对已生成的树进行剪枝并选择最优子树,这时损失函数最小作为剪枝的标准。这里用代价复杂度剪枝CCP(Cost-Complexity Pruning)。
决策树的生成就是通过递归地构建二叉决策树的过程,对回归树用平方误差最小化准则,对分类树用基尼指数最小化准则,进行特征选择,生成二叉树。

CART决策树生成:
1)回归树生成
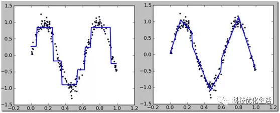
回归树采用均方误差作为损失函数,树生成时会递归的按最优特征与最优特征下的最优取值对空间进行划分,直到满足停止条件为止,停止条件可以人为设定,比如当切分后的损失减小值小于给定的阈值 ε,则停止切分,生成叶节点。对于生成的回归树,每个叶节点的类别为落到该叶节点数据的标签的均值。
回归树为一棵二叉树,每次都是按特征下的某个取值进行划分,每一个内部节点都是做一个对应特征的判断,直至走到叶节点得到其类别,构建这棵树的难点在于如何选取最优的切分特征与切分特征对应的切分变量。
回归树与模型树既可以处理连续特征也可以处理离散特征。
回归树生成算法如下:
输入:训练数据集 D={(x1,y1),(x2,y2),…,(xN,yN)}
输出:回归树 T
1)求解选择切分特征 j 与切分特征取值 s ,j 将训练集 D 划分为两部分,R1 与R2 ,依照(j,s)切分后如下:
R1(j,s)={xi|xji≤s} R2(j,s)={xi|xji>s}
c1=1N1∑xi∈R1yi c2=1N2∑xi∈R2yi
2)遍历所有可能的解(j,s),找到最优的 (j*,s*) ,最优的解使得对应损失最小,按照最优特征(j*,s*)来切分即可。
Min { ∑ (yi–c1)^2 +∑ (yi–c2)^2 }
j,s xi∈R1 xi∈R2
3)递归调用 1)和2),直到满足停止条件。
4)返回决策树 T。
回归树主要采用了分治策略,对于无法用唯一的全局线性回归来优化的目标进行分而治之,进而取得比较准确的结果,但分段取均值并不是一个明智的选择,可以考虑将叶节点设置为一个线性函数,这便是所谓的分段线性模型树。实验表明:模型树效果比回归树的效果要好一些。模型树只需在回归树的基础上稍加修改即可,对于分到叶节点的数据,采用线性回归的最小均方损失来计算该节点的损失。

2)分类树生成
分类树是CART中用来分类的,不同于 ID3 与 C4.5,CART分类树采用基尼指数来选择最优的切分特征,而且每次都是二分。
基尼指数是一个类似与熵的概念,对于一个有 K 种状态对应的概率为 p1,p2,…,pK的随机变量 X ,其基尼指数Gini定义如下:
Gini(X)=∑pk(1?pk)=1?∑kp2k
k k
在已知特征 A条件下集合 D 的基尼指数:
Gini(D,A)=(|D1|/|D|)*Gini(D1)+(|D2|/|D|)*Gini(D2)
Gini(D,A)取值越大,样本的不确定性也越大,这一点与熵类似,所以选择特征 A 的标准是 Gini(D,A) 的取值越小越好。
分类树生成算法如下:
输入:训练数据集 D={(x1,y1),(x2,y2),…,(xN,yN)},停止条件
输出:分类树 T
1)利用特征 A 的取值 a 将数据分为两部分,计算 A=a时的基尼系数:
Gini(D,A)=(|D1|/|D|)*Gini(D1)+(|D2|/|D|)*Gini(D2)
2)对整个数据集中所有的可能特征 A 以及其可能取值 a 选取基尼系数最小的特征 A* 与特征下的取值 a*,来将数据集切分,将数据 D1、D2 分到两个子节点中去。
3)对子节点递归调用 1)和2) ,直至满足停止条件
4)返回 CART 树 T
该算法停止条件可以是节点中的样本数不能小于给定阈值,或者样本集的基尼系数小于给定阈值,或者没有更多的特征。

3)剪枝
CART需要对生成的树进行剪枝,避免模型过度拟合训练数据,剪枝时使用的损失函数如下:
Ca(T)=C(T)+a|T|
C(T)为树 T 对训练数据的误差,可以用基尼系数或者均方损失来表示,a≥0 代表一个权衡训练数据损失 C(T)与总节点数 |T|的参数,Ca(T) 代表了树 T 的整体损失,对于固定的 a,一定存在一个确定的使得 Ca(T)最小的子树,当 a偏大时, |T| 偏小,树 T 的规模偏小,反之,树 T 的规模偏大,Breiman 等人采用递归的方法对 CART 进行剪枝,将 a从小增大 0=a0<a1<…<an,如此产生的区间 a∈[ai,ai+1), i=1,2,…,n用对应此区间的 a 产生一系列的子树序列 {T0,T1,…,Tn}这里 Ti+1总是由 Ti 剪枝后产生。
剪枝算法如下:
输入:CART 生成树 T0
输出:剪枝后的最优树 T*
1)设 k=0 , T=T0 ,a=+∞
3) 自下而上的对内部节点 t 计算:
g(t)=[Ct?C(Tt)]/(|Tt|?1)
a=min(a,g(t))
4) 自上而下的访问内部节点 t ,对最小的 g(t)=a进行剪枝,并对叶节点 t 以多数表决形式决定其类别,得到树 T
5) k=k+1, ak=a,Tk=T
6) 如果 T 为非单节点树,回到4)
7) 对于产生的子树序列 {T0,T1,…,Tn}分别计算损失,得到最优子树 T*并返回.

剪枝后的树便是所需要的CART决策树。
CART优点:
1) 可以生成可以理解的规则;
2) 计算量相对来说不是很大;
3) 可以处理连续和种类字段;
4)决策树可以清晰的显示哪些字段比较重要。
CART缺点:
1) 对连续性的字段比较难预测;
2) 对有时间顺序的数据,需要很多预处理的工作;
3)当类别太多时,错误可能就会增加的比较快;
4)一般的算法分类的时候,只是根据一个字段来分类。

CART应用场景:
CART算法既可以处理离散型问题,也可以处理连续型问题。CART算法是一种非常有趣且十分有效的非参数分类和回归方法。它通过构建二叉树达到预测目的。它已在统计、数据挖掘和机器学习领域中普遍使用,是一种应用广泛的决策树算法。
结语:
CART 模型最早由Breiman 等人提出,它采用与传统统计学完全不同的方式构建预测准则,它是以二叉树形式给出,易于理解、使用和解释。由CART 模型构建的预测树在很多情况下比常用的统计方法构建的代数学预测准则更加准确,且数据越复杂、变量越多,CART算法优越性就越显著。模型的关键是预测准则的构建。CART算法在统计、数据挖掘和机器学习等领域得到广泛应用。
------以往文章推荐------
机器学习
深度学习
人工神经网络
决策树
随机森林
强化学习
迁移学习
遗传算法
朴素贝叶斯
支持向量机
蒙特卡罗方法
马尔科夫模型
Hopfield神经网络
回归模型
K邻近算法
卷积神经网络
受限玻尔兹曼机
循环神经网络
长短时记忆神经网络
Adaboost算法
ID3算法
C4.5算法
相关文章
- 智汇瓯江 智引未来:2025中国人工智能数字创新大会在温州成功举办
- 苹果人工智能服务器芯片Baltra或将用于执行人工智能推理任务
- 人工智能数据处理和质量测评中心全栈服务体系正式发布
- 中国开发区协会人工智能产业专业委员会在京成立
- 中国信通院政策与经济研究所李强治:我国人工智能治理迈入务实新阶段,场景与工具同步落地
- 中国信通院产业与规划研究所张桢:人工智能与城市全域数字化转型融合,正成为推动城市高质量发展的核心引擎
- 中国信通院产业与规划研究所徐志发:人工智能驱动数字消费深度变革,“十五五”时期将进入壮大发展的关键阶段
- 中国信通院云计算与大数据研究所栗蔚:智能算力重塑计算和网络架构,普惠化服务人工智能
- 中国信通院信息化与工业化融合研究所刘默:人工智能技术创新赋能制造业智能化迈入新阶段
- 中国信通院人工智能研究所魏凯:人工智能正从工具升级为伙伴,全面赋能高质量发展
- 中国心理科技园开园暨中国心理人工智能算力中心在京成立 心理产业迈入2.0时代:“心理AI产教融合生态”
- 蘑菇云荣膺教育强国论坛2025年度科技创新教育品牌 以创新产品赋能人工智能通识教育
- 英伟达在AI图形处理器上部署训练OpenAI的GPT-5.2,为人工智能产业提速
- 2025 全国人工智能应用场景创新挑战赛AI Agent全球专项赛线下半决赛新闻发布会在深圳召开
- 美图公司RoboNeo入选2025人工智能年度榜单
- 贵港移动公司共建人工智能联合实验室,推动产学研融合与产业数字化
人工智能企业
更多>>人工智能硬件
更多>>- 中国联通携手合作伙伴发布云智AI眼镜
- 忆联UH812a以极致存力破局大模型载入瓶颈,释放算力潜能
- 讯飞翻译机登陆MWC 2026,同传级沟通体验,多语种交流无压力
- 普恩志引领:2026半导体与高端制造前瞻——核心备件如何驱动产业革新与市场机遇
- 超旗舰降噪,殿堂级音质 索尼双芯超旗舰真无线降噪耳机WF-1000XM6正式发售
- 当AI学会“隐身”,手机才真正智能:三星Galaxy S26系列开启AI哲学的降维打击
- 全球首秀!讯飞AI眼镜亮相MWC,多模态同传大模型与极致轻量化设计 引领智能穿戴新风向
- 全球瞩目!荣耀携Robot Phone、Magic V6系列、荣耀MagicBook Pro 14 2026震撼亮相MWC 2026
人工智能产业
更多>>人工智能技术
更多>>- 云知声Unisound U1-OCR大模型发布!首个工业级文档智能基础大模型,开启OCR 3.0时代
- 基石智算上线 MiniMax M2.5,超强编程与智能体工具调用能力
- 昇腾原生支持,科学多模态大模型Intern-S1-Pro正式发布并开源
- 百度千帆深度研究Agent登顶权威评测榜单DeepResearch Bench
- 在MoltBot/ClawdBot,火山方舟模型服务助力开发者畅享模型自由
- 教程 | OpenCode调用基石智算大模型,AI 编程效率翻倍
- 全国首个!上海上线规划资源AI大模型,商汤大装置让城市治理“更聪明”
- 昇思人工智能框架峰会 | 昇思MindSpore MoE模型性能优化方案,提升训练性能15%+









