人工智能之PCA算法
2018-06-19 09:23:23AI云资讯1184
前言:人工智能机器学习有关算法内容,人工智能之机器学习主要有三大类:1)分类;2)回归;3)聚类。今天我们重点探讨一下PCA算法。
PCA(主成分分析)是十大经典机器学习算法之一。PCA是Pearson在1901年提出的,后来由Hotelling在1933年加以发展提出的一种多变量的统计方法。

对于维数比较多的数据,首先需要做的事就是在尽量保证数据本质的前提下将数据中的维数降低。降维是一种数据集预处理技术,往往在数据应用在其他算法之前使用,它可以去除掉数据的一些冗余信息和噪声,使数据变得更加简单高效,从而实现提升数据处理速度的目的,节省大量的时间和成本。降维也成为了应用非常广泛的数据预处理方法。目前处理降维的技术有很多种,如SVD奇异值分解,主成分分析(PCA),因子分析(FA),独立成分分析(ICA)等。今天重点介绍主成分分析(PCA)。

PCA(主成分分析)算法目的是在“信息”损失较小的前提下,将高维的数据转换到低维,通过析取主成分显出的最大的个别差异,也可以用来削减回归分析和聚类分析中变量的数目,从而减小计算量。
PCA(主成分分析)通常用于高维数据集的探索与可视化,还可以用于数据压缩,数据预处理等。
PCA算法概念:
PCA(PrincipalComponent Analysis)主成分分析,也称为卡尔胡宁-勒夫变换(Karhunen-Loeve Transform),是一种用于探索高维数据结构的技术。
PCA是一种较为常用的降维技术,PCA的思想是将维特征映射到维上,这维是全新的正交特征。这维特征称为主元,是重新构造出来的维特征。在PCA中,数据从原来的坐标系转换到新的坐标系下,新的坐标系的选择与数据本身是密切相关的。第一个新坐标轴选择的是原始数据中方差最大的方向,第二个新坐标轴选择和第一个坐标轴正交且具有最大方差的方向。该过程一直重复,重复次数为原始数据中特征的数目。大部分方差都包含在最前面的几个新坐标轴中。因此,可以忽略余下的坐标轴,即对数据进行降维处理。

PCA算法本质:
PCA算法本质就是找一些投影方向,使得数据在这些投影方向上的方差最大,而且这些投影方向是相互正交的。这其实就是找新的正交基的过程,计算原始数据在这些正交基上投影的方差,方差越大,就说明在对应正交基上包含了更多的信息量。原始数据协方差矩阵的特征值越大,对应的方差越大,在对应的特征向量上投影的信息量就越大。反之,如果特征值较小,则说明数据在这些特征向量上投影的信息量很小,可以将小特征值对应方向的数据删除,从而达到了降维的目的。
PCA把可能具有相关性的高维变量合成线性无关的低维变量,称为主成分( principal components)。新的低维数据集会尽可能保留原始数据的变量。
简而言之,PCA本质上是将方差最大的方向作为主要特征,并且在各个正交方向上将数据“离相关”,也就是让它们在不同正交方向上没有相关性。

PCA算法中术语:
1、样本“信息量”
样本的“信息量”指的是样本在特征方向上投影的方差。方差越大,则样本在该特征上的差异就越大,因此该特征就越重要。在分类问题里,样本的方差越大,越容易将不同类别的样本区分开。
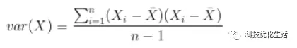
2、方差
希望投影后投影值尽可能分散,而这种分散程度,可以用数学上的方差来表述。在统计描述中,方差用来计算每一个变量(观察值)与总体均数之间的差异。此处,一个字段的方差可以看做是每个元素与字段均值的差的平方和的均值,即:

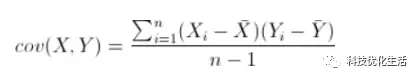
3、协方差
对于二维降成一维的问题来说,找到使得方差最大的方向就可以了。但是对于更高维的问题,需要用到协方差来表示其相关性。即:

PCA理论基础:
PCA理论基础如下:
1)最大方差理论。
2)最小错误理论。
3)坐标轴相关度理论。
PCA算法流程:
1)去平均值,即每一位特征减去各自的平均值;
2)计算协方差矩阵;
3)计算协方差矩阵的特征值与特征向量;
4)对特征值从大到小排序;
5)保留最大的个特征向量;
6)将数据转换到个特征向量构建的新空间中。

PCA降维准则:
1) 最近重构性:样本集中所有点,重构后的点距离原来的点的误差之和最小。
2) 最大可分性:样本在低维空间的投影尽可能分开。

PCA算法优点:
1)使得数据集更易使用;
2)降低算法的计算开销;
3)去除噪声;
4)使得结果容易理解;
5)完全无参数限制。
PCA算法缺点:
1) 如果用户对观测对象有一定的先验知识,掌握了数据的一些特征,却无法通过参数化等方法对处理过程进行干预,可能会得不到预期的效果,效率也不高;
2) 特征值分解有一些局限性,比如变换的矩阵必须是方阵;
3) 在非高斯分布情况下,PCA方法得出的主元可能并不是最优的。
PCA算法应用:
PCA算法已经被广泛的应用于高维数据集的探索与可视化,还可以用于数据压缩,数据预处理等领域。在机器学习当中应用很广,比如图像,语音,通信的分析处理。PCA算法最主要的用途在于“降维”,去除掉数据的一些冗余信息和噪声,使数据变得更加简单高效,提高其他机器学习任务的计算效率。
结语:
PCA是一种常用的数据分析方法。PCA通过线性变换将原始数据变换为一组各维度线性无关的表示,可用于识别和提取数据的主要特征分量,通过将数据坐标轴旋转到数据角度上那些最重要的方向(方差最大);然后通过特征值分析,确定出需要保留的主成分个数,舍弃其他非主成分,从而实现数据的降维。降维使数据变得更加简单高效,从而实现提升数据处理速度的目的,节省大量的时间和成本。降维也成为了应用非常广泛的数据预处理方法。PCA算法已经被广泛的应用于高维数据集的探索与可视化,还可以用于数据压缩,数据预处理,图像,语音,通信的分析处理等领域。
相关文章
- 智汇瓯江 智引未来:2025中国人工智能数字创新大会在温州成功举办
- 苹果人工智能服务器芯片Baltra或将用于执行人工智能推理任务
- 人工智能数据处理和质量测评中心全栈服务体系正式发布
- 中国开发区协会人工智能产业专业委员会在京成立
- 中国信通院政策与经济研究所李强治:我国人工智能治理迈入务实新阶段,场景与工具同步落地
- 中国信通院产业与规划研究所张桢:人工智能与城市全域数字化转型融合,正成为推动城市高质量发展的核心引擎
- 中国信通院产业与规划研究所徐志发:人工智能驱动数字消费深度变革,“十五五”时期将进入壮大发展的关键阶段
- 中国信通院云计算与大数据研究所栗蔚:智能算力重塑计算和网络架构,普惠化服务人工智能
- 中国信通院信息化与工业化融合研究所刘默:人工智能技术创新赋能制造业智能化迈入新阶段
- 中国信通院人工智能研究所魏凯:人工智能正从工具升级为伙伴,全面赋能高质量发展
- 中国心理科技园开园暨中国心理人工智能算力中心在京成立 心理产业迈入2.0时代:“心理AI产教融合生态”
- 蘑菇云荣膺教育强国论坛2025年度科技创新教育品牌 以创新产品赋能人工智能通识教育
- 英伟达在AI图形处理器上部署训练OpenAI的GPT-5.2,为人工智能产业提速
- 2025 全国人工智能应用场景创新挑战赛AI Agent全球专项赛线下半决赛新闻发布会在深圳召开
- 美图公司RoboNeo入选2025人工智能年度榜单
- 贵港移动公司共建人工智能联合实验室,推动产学研融合与产业数字化
人工智能企业
更多>>人工智能硬件
更多>>- 中国联通携手合作伙伴发布云智AI眼镜
- 忆联UH812a以极致存力破局大模型载入瓶颈,释放算力潜能
- 讯飞翻译机登陆MWC 2026,同传级沟通体验,多语种交流无压力
- 普恩志引领:2026半导体与高端制造前瞻——核心备件如何驱动产业革新与市场机遇
- 超旗舰降噪,殿堂级音质 索尼双芯超旗舰真无线降噪耳机WF-1000XM6正式发售
- 当AI学会“隐身”,手机才真正智能:三星Galaxy S26系列开启AI哲学的降维打击
- 全球首秀!讯飞AI眼镜亮相MWC,多模态同传大模型与极致轻量化设计 引领智能穿戴新风向
- 全球瞩目!荣耀携Robot Phone、Magic V6系列、荣耀MagicBook Pro 14 2026震撼亮相MWC 2026
人工智能产业
更多>>人工智能技术
更多>>- 云知声Unisound U1-OCR大模型发布!首个工业级文档智能基础大模型,开启OCR 3.0时代
- 基石智算上线 MiniMax M2.5,超强编程与智能体工具调用能力
- 昇腾原生支持,科学多模态大模型Intern-S1-Pro正式发布并开源
- 百度千帆深度研究Agent登顶权威评测榜单DeepResearch Bench
- 在MoltBot/ClawdBot,火山方舟模型服务助力开发者畅享模型自由
- 教程 | OpenCode调用基石智算大模型,AI 编程效率翻倍
- 全国首个!上海上线规划资源AI大模型,商汤大装置让城市治理“更聪明”
- 昇思人工智能框架峰会 | 昇思MindSpore MoE模型性能优化方案,提升训练性能15%+









