IDC:2020上半年浪潮AI服务器市占率53.5%,持续领跑AI算力市场
2020-10-29 11:14:46AI云资讯874
日前,IDC发布最新一期《2020H1中国AI加速计算报告》。报告显示,2020年上半年,浪潮AI服务器销售额达6.88亿美元,市场份额占比达53.5%,同比2019上半年提升3.3个百分点。

在线经济爆发,产业AI化进程加速
AI算力的提升一直是驱动人工智能快速发展的重要因素。报告指出,用于AI算力的投资仍将是各个公司发展AI的首要支出。IDC预测,2020年中国AI整体市场规模将达62.7美元,同比增长37.2%。其中AI基础设施(含服务器、存储、网络)市场规模达到39.3亿美元,同比增长26.8%,在总体份额中的占比将超过6成。
从行业维度看,互联网仍然是最大的细分市场。由于疫情期间在线教育、在线办公、无接触物流、短视频等应用场景的爆发式增长,2020年上半年互联网市场同比增幅高达105.1%,整体份额占比大幅提升14.5个百分点达57.9%。除互联网以外,2020年上半年规模前五的行业分别为政府(12.6%)、服务(9.0%)、通信(4.8%)和教科研(4.4%)。而从增速来看,增速最快的5个行业分别为交通(962.1%)、公共事业(342.1%)、媒体(105.9%)、互联网(105.1%)和通信(90.4%)。
目前,AI行业应用落地趋势正在逐步加速,特别是自去年底以来,受新冠疫情的影响,很多传统行业更加深刻的意识到人工智能、大数据、5G等技术的重要性,促使各企业加大对于IT基础架构的投资。此外,在国家产业政策层面,政府倡导的新基建拉开序幕,人工智能、5G、大数据等业务板块又迎来新风口,智算中心的产业投资,这将给各厂商带来更多的发展机会。
浪潮AI算力全面创新,全栈AI优势明显
针对智慧时代算力需求和最新发展趋势,浪潮前瞻提出智算中心,并围绕智算中心生产算力、聚合算力、调度算力、释放算力这四大关键作业环节持续创新:在生产算力层面持续打造业内最强最全的AI算力机组;在聚合算力方面打造更高效率更低延迟硬件加速设备与优化软件栈;在AI算力调度层面通过高效AIstation算力调度平台加速AI创新与生产交付;在释放算力层面通过AutoML Suite为人工智能客户与开发者提供快速高效开发AI模型的能力。
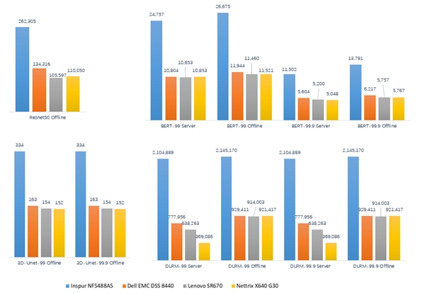
作为全球领先的AI算力供应商,浪潮拥有业内最强最全的AI计算产品阵列:其中浪潮NF5488A5是全球首款在4U空间内支持8块安培架构A100芯片实现NVLink高速互联的AI服务器,在全球权威AI基准测试MLPerf中,一举创造18项全球性能纪录,在Resnet50推理任务测试中,以54.9万/每秒的全球服务器最好成绩,同比19年纪录提升3倍;此前,NF5488A5在今年7月公布的MLPerf训练榜单中,在Resnet50训练任务中,仅用时33.37分钟就完成了ResNet50模型基于ImageNet数据集的训练任务,单服务器性能成绩高居榜首。同时,在推动算力多元化层面,率先推出MX1全球首个AI开放加速系统,可支持多家不同型号的AI芯片直接更换。


各服务器MLPerf AI推理性能对比
同时,AI生产调度过程中,算力资源调度管理和AI算法优化能力同样重要。在AI资源管理调度层面,浪潮AIStation企业级人工智能开发平台,全面支持训练与推理两大环节,实现从模型开发、训练、部署、测试、发布的全流程一站式高效交付,帮助用户获得300%的开发效率提升;在自动机器学习领域,浪潮AutoMLSuite可实现企业级一站式模型自动构建,支持本地化和云端部署、并行高效模型搜索,全面支持图像分类/回归/目标检测CV场景应用,模型大小与计算量极致压缩。经过AutoMLSuite自动生成的AI算法模型,实战表现超出专家模型水平。此外,在AI算法创新层面,最新研发成功的AI大模型计算框架LMS,可将NLP智能语言模型参数规模突破73亿,相比业界主流水平提升20倍以上。
元脑生态多点开花,加速产业AI普惠
在生态力布局上,浪潮与具备AI功能开发核心能力的科技公司,以及具备实施AI整体解决方案能力的SI、ISV共建“元脑生态”,聚合了最强的AI算力平台、最领先的AI算法模型能力和最优质的集成部署和服务能力,有力支撑和加速各产业与人工智能的快速融合,使之具备可感知、自学习、可进化的能力,最终帮助产业用户完成业务智能转型升级。
目前,浪潮携手元脑左右手伙伴已经在金融、铁路、电力、交通、智慧城市、石油石化等行业领域实现了产业AI化落地,大大促进了各行业的产业AI化转型升级。
相关文章
- 全球视频会议赛场格局生变,华为凭何斩获IDC“领导者”殊荣?
- 维谛技术(Vertiv):从直流演进到锂电安全| 直击AIDC供配电最前线
- 石化盈科联合IDC发布《“新”型工业 “智”变运营——石油石化新智运营白皮书》
- 全球智慧·全链驱动 维谛技术AIDC技术研讨会华西站
- 云轴科技ZStack入选IDC AI Agent报告AI Infra代表厂商
- IDC权威报告:中能拾贝强势登榜IDC中国工业大模型应用市场第一梯队
- IDC发布中国AI翻译技术评估报告:科大讯飞8项评测全部第一,6项满分领跑行业
- Aloudata 获评 IDC 面向生成式 AI 的数据基础设施核心厂商
- AIDC产业发展大会隆重召开,开启AIDC新纪元
- 华为杨超斌:共筑标准规范,共创AIDC新纪元
- 华为《AIDC机房参考设计白皮书》重磅发布,赋能AI算力基础设施迈向新高度
- 从RE+ 2025看未来,海辰储能AIDC储能解决方案打破“能耗焦虑”
- 海辰储能AIDC储能解决方案亮相RE+ 2025,以长时储能赋能AI数据中心绿色转型
- IDC MarketScape:腾讯云位居国内生成式AI数据基础设施“领导者”象限
- 声网上榜IDC中国AI Agent市场概览全景图
- 秦淮数据作为首家AIDC企业荣登「2025福布斯中国最佳数智化雇主」
人工智能企业
更多>>人工智能硬件
更多>>人工智能产业
更多>>人工智能技术
更多>>- 高德发布鸿蒙首个生成式 UI 开源框架 AGenUI,告别传统 UI 开发模式
- 发布即适配| 天数智芯全力支持腾讯混元Hy3 preview 开源落地,共推国内大模型产业普惠
- Seedance 2.0面向企业公测,豆包大模型日均Token使用量突破120万亿
- 端到端OCR模型第一!百度千帆Qianfan-OCR正式发布
- 云知声Unisound U1-OCR大模型发布!首个工业级文档智能基础大模型,开启OCR 3.0时代
- 基石智算上线 MiniMax M2.5,超强编程与智能体工具调用能力
- 昇腾原生支持,科学多模态大模型Intern-S1-Pro正式发布并开源
- 百度千帆深度研究Agent登顶权威评测榜单DeepResearch Bench









